![]() |
1. The status panel provides quick access to common spectrum analyzer settings. See STATUS PANEL (AM/FM Audio). 2. The audio spectrum displays the frequency spectrum of the demodulated audio signal. It displays depth (%) in amplitude modulation, and deviation (Hz) in frequency modulation. 3. The RF spectrum graph represents the minimized view of the RF spectrum view. 4. The demodulation marker is used to select the audio signal in the RF frequency domain. Toggle on DEMOD MKR button to analyze the audio signal. 5. The full screen icon displays the maximized view of the selected graph with audio results table displayed at the bottom. Touch exit full screen icon to exit the full screen view. Note that when the audio results table is viewed in full screen the corresponding graphs are not displayed at the bottom of the screen. 6. The SETUP menu is where the AM/FM demodulation settings are configured. See SETUP Menu (AM/FM Audio – All Measurements View). 7. The audio results displays several numerical measurements such as SINAD (Signal-to-Noise and Distortion Ratio), THD (Total Harmonic Distortion), Upper/Lower AM depth etc. It also includes the fundamental and harmonic markers in addition to X and Y axes coordinates of the marker locations. 8. This drop-down menu allows you to switch between marker table and audio results display. Note that Marker Table is only visible when MARKER TABLE is toggled on in MARKER menu. 9. The audio time domain graph also referred as oscilloscope, represents the AM depth (%) or FM deviation (Hz) of the audio signal versus time. |

![]() |


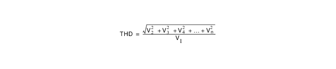
Note | THD is calculated based on up to 10 harmonics. For the selected AM/FM modulation mode, the frequency of harmonics beyond the bandwidth of the audio signal is not measured. The THD calculated in THD measurement is calculated based |
![]() | DEMOD FREQ Sets the audio demodulation frequency. DEMOD MKR Toggles the tracked marker on and sets the demod frequency to track the marker frequency. Use the MARKER Menu to adjust the marker parameters. MARKER TRACKED Selects which marker to track. When DEMOD MKR is enabled, the demodulated frequency tracks the indicated marker. MODULATION Selects the modulation type to demodulate the RF signal. Available modulation types are AM, US Band (upper sideband), LS Band (lower sideband), FM Narrowband (6.25 12.5 and 25 kHz), and FM Wideband. ZOOMED AUDIO GRAPH Displays zoomed audio spectrum graph when toggled on, only available in FM modulation. Only available in Wideband FM mode. The full span Audio Spectrum shows 96 kHz of spectrum to include the mono audio, 19 kHz sub carrier, left and right stereo channels. The zoomed graph shows 20 kHz audio spectrum for closer analysis of the combined left/right channels. ZOOMED TIME GRAPH Displays zoomed audio time domain graph when toggled on. Zoomed time domain audio graph is used to view a signal modulated with an ideal sine wave to detect distortion. AUDIO Toggles the demodulated audio output (sound) on or off. The demodulation frequency must be within the current sweep for audio demodulation. Note that AM/FM audio demodulation cannot be used in conjunction with IQ Streaming or when the IQ streaming output port is set to Data Out. VOLUME Sets the percentage of audio output volume or mutes the audio. RECORD DURATION Sets the audio recording time. The maximum recording time is approximately 27 hours, depending on available storage. RECORD Starts audio recording. Recorded audio files (.wav) are saved to the Waves folder. Audio will be recorded for the recording duration or will stop when AUDIO is toggled off. SQUELCH LVL Sets the RF threshold level for audio playback. This is typically used with weak or intermittent signals to mute the static sound when the signal is below the squelch threshold. PRESET SETUP Presets all the AM/FM audio setup parameters. |
REF LEVEL Sets the reference level of the top graticule line in the selected units. If the reference level offset is not zero, OFFSET REF LEVEL is displayed at this location. Refer to Setting Amplitude Parameters. SCALE/DIV Sets the graticule scale/division for log-based units. This setting does not apply to linear units. REF LEVEL OFFSET Sets the reference level offset in dB units. This setting can compensate for the presence of external input attenuation or gain. FREQ OFFSET Accounts for frequency conversions outside of the analyzer. Refer to Setting Frequency Parameters. ATTEN LEVEL When auto attenuation is off, sets input attenuation. PRE AMP Toggles the low-noise front-end preamplifier on or off. Refer to Setting Amplitude Parameters. TRACES/CURSORS Displays the current status of up to six traces or cursors in a quick-view summary. When the measurement view is set to RF Spectrum, trace information is displayed in this area. When the measurement view is set to Spectrogram, cursor information is displayed in this area. Cursors are available in the Spectrum measurement with the Spectrogram view selected. The summary information includes the trace or cursor number, type, mode, and detector type. The active trace will show a highlighted background with the mode and detector type restated under the table. In Spectrogram, a reference trace (T0) will show you the settings of the trace used to fill the spectrogram. The reference trace settings are applied to all traces and cursors while in Spectrogram view. Selecting a trace or cursor in the summary panel activates the pressed trace or cursor and opens the TRACE menu, allowing you to select and set up an individual trace or cursor as desired. Refer to Setting Trace Parameters. TRACE STATS (dBm) Displays the spectrum analyzer received Maximum, Average, and Minimum power of each frequency range sweep. SWEEP Toggles the current sweep setting between continuously or sweep once. Refer to Setting Sweep Parameters. FREQ REFERENCE Indicates the current frequency reference source of Internal High Accuracy (used after GPS has lost sync, but while the internal clock still has good GPS reference), Internal Standard Accuracy, External, or GNSS (GPS) Hi Accy (requires GPS). The instrument automatically selects the frequency reference in the following order of priority: external, GPS, then the internal time base. | ||